LECTURE 4

Marks and Channels

Barrie Robison

2025-02-11

VAD MODEL

UNDERSTAND THE DATA

Computer-based visualization systems provide visual representations of datasets designed to help people carry out tasks more effectively.

UNDERSTAND THE TASK

Computer-based visualization systems provide visual representations of datasets designed to help people carry out tasks more effectively.

VISUAL ENCODING

Computer-based visualization systems provide visual representations of datasets designed to help people carry out tasks more effectively.

OTHER FRAMEWORKS

  1. The Tidyverse
  2. The Grammar of Graphics
  3. Tufte

TIDYVERSE

R packages for data science:

The tidyverse is an opinionated collection of R packages designed for data science. All packages share an underlying design philosophy, grammar, and data structures. The best way to explore and understand the tidyverse is with cheetsheets, like this one for tidyr!

GRAMMAR OF GRAPHICS

The ggplot2 cheatsheet!

TUFTE

Tufte’s Website

A Quarto Page Layout Example

ANALYSIS FRAMEWORK

Four levels, three questions

  • Domain situation defines the target users.
  • Abstraction translate from specifics of domain to vocabulary of vis
    • WHAT is shown? data abstraction
    • WHY is the user looking at it? task abstraction
  • Idiom defines the visualization
    • HOW is it shown?
      • visual encoding idiom: how to draw
      • interaction idiom: how to manipulate
  • Algorithm creates the visualization
    • evaluated with computational efficiency

ENCODING

We are defining the structure of the visualization (the idiom).

To do this, we use MARKS and CHANNELS:

  • MARKS represent ITEMS or LINKS (aka OBSERVATIONS)

  • CHANNELS change the appearance of MARKS based on ATTRIBUTES (aka VARIABLES)

MARKS FOR ITEMS

OBSERVABLE IN QUARTO!

Code
d3 = require("d3@7")


chart = ForceGraph(miserables, {
  nodeId: d => d.id,
  nodeGroup: d => d.group,
  nodeTitle: d => `${d.id}\n${d.group}`,
  linkStrokeWidth: l => Math.sqrt(l.value),
  width,
  height: 1000,
  invalidation // a promise to stop the simulation when the cell is re-run
})


miserables = FileAttachment("miserables.json").json()


// Copyright 2021 Observable, Inc.
// Released under the ISC license.
// https://observablehq.com/@d3/force-directed-graph
function ForceGraph({
  nodes, // an iterable of node objects (typically [{id}, …])
  links // an iterable of link objects (typically [{source, target}, …])
}, {
  nodeId = d => d.id, // given d in nodes, returns a unique identifier (string)
  nodeGroup, // given d in nodes, returns an (ordinal) value for color
  nodeGroups, // an array of ordinal values representing the node groups
  nodeTitle, // given d in nodes, a title string
  nodeFill = "currentColor", // node stroke fill (if not using a group color encoding)
  nodeStroke = "#fff", // node stroke color
  nodeStrokeWidth = 1.5, // node stroke width, in pixels
  nodeStrokeOpacity = 1, // node stroke opacity
  nodeRadius = 5, // node radius, in pixels
  nodeStrength,
  linkSource = ({source}) => source, // given d in links, returns a node identifier string
  linkTarget = ({target}) => target, // given d in links, returns a node identifier string
  linkStroke = "#999", // link stroke color
  linkStrokeOpacity = 0.6, // link stroke opacity
  linkStrokeWidth = 1.5, // given d in links, returns a stroke width in pixels
  linkStrokeLinecap = "round", // link stroke linecap
  linkStrength,
  colors = d3.schemeTableau10, // an array of color strings, for the node groups
  width = 1000, // outer width, in pixels
  height = 1000, // outer height, in pixels
  invalidation // when this promise resolves, stop the simulation
} = {}) {
  // Compute values.
  const N = d3.map(nodes, nodeId).map(intern);
  const LS = d3.map(links, linkSource).map(intern);
  const LT = d3.map(links, linkTarget).map(intern);
  if (nodeTitle === undefined) nodeTitle = (_, i) => N[i];
  const T = nodeTitle == null ? null : d3.map(nodes, nodeTitle);
  const G = nodeGroup == null ? null : d3.map(nodes, nodeGroup).map(intern);
  const W = typeof linkStrokeWidth !== "function" ? null : d3.map(links, linkStrokeWidth);
  const L = typeof linkStroke !== "function" ? null : d3.map(links, linkStroke);

  // Replace the input nodes and links with mutable objects for the simulation.
  nodes = d3.map(nodes, (_, i) => ({id: N[i]}));
  links = d3.map(links, (_, i) => ({source: LS[i], target: LT[i]}));

  // Compute default domains.
  if (G && nodeGroups === undefined) nodeGroups = d3.sort(G);

  // Construct the scales.
  const color = nodeGroup == null ? null : d3.scaleOrdinal(nodeGroups, colors);

  // Construct the forces.
  const forceNode = d3.forceManyBody();
  const forceLink = d3.forceLink(links).id(({index: i}) => N[i]);
  if (nodeStrength !== undefined) forceNode.strength(nodeStrength);
  if (linkStrength !== undefined) forceLink.strength(linkStrength);

  const simulation = d3.forceSimulation(nodes)
      .force("link", forceLink)
      .force("charge", forceNode)
      .force("center",  d3.forceCenter())
      .on("tick", ticked);

  const svg = d3.create("svg")
      .attr("width", width)
      .attr("height", height)
      .attr("viewBox", [-width / 2, -height / 2, width, height])
      .attr("style", "max-width: 100%; height: auto; height: intrinsic;");

  const link = svg.append("g")
      .attr("stroke", typeof linkStroke !== "function" ? linkStroke : null)
      .attr("stroke-opacity", linkStrokeOpacity)
      .attr("stroke-width", typeof linkStrokeWidth !== "function" ? linkStrokeWidth : null)
      .attr("stroke-linecap", linkStrokeLinecap)
    .selectAll("line")
    .data(links)
    .join("line");

  const node = svg.append("g")
      .attr("fill", nodeFill)
      .attr("stroke", nodeStroke)
      .attr("stroke-opacity", nodeStrokeOpacity)
      .attr("stroke-width", nodeStrokeWidth)
    .selectAll("circle")
    .data(nodes)
    .join("circle")
      .attr("r", nodeRadius)
      .call(drag(simulation));

  if (W) link.attr("stroke-width", ({index: i}) => W[i]);
  if (L) link.attr("stroke", ({index: i}) => L[i]);
  if (G) node.attr("fill", ({index: i}) => color(G[i]));
  if (T) node.append("title").text(({index: i}) => T[i]);
  if (invalidation != null) invalidation.then(() => simulation.stop());

  function intern(value) {
    return value !== null && typeof value === "object" ? value.valueOf() : value;
  }

  function ticked() {
    link
      .attr("x1", d => d.source.x)
      .attr("y1", d => d.source.y)
      .attr("x2", d => d.target.x)
      .attr("y2", d => d.target.y);

    node
      .attr("cx", d => d.x)
      .attr("cy", d => d.y);
  }

  function drag(simulation) {    
    function dragstarted(event) {
      if (!event.active) simulation.alphaTarget(0.3).restart();
      event.subject.fx = event.subject.x;
      event.subject.fy = event.subject.y;
    }
    
    function dragged(event) {
      event.subject.fx = event.x;
      event.subject.fy = event.y;
    }
    
    function dragended(event) {
      if (!event.active) simulation.alphaTarget(0);
      event.subject.fx = null;
      event.subject.fy = null;
    }
    
    return d3.drag()
      .on("start", dragstarted)
      .on("drag", dragged)
      .on("end", dragended);
  }

  return Object.assign(svg.node(), {scales: {color}});
}


import {howto} from "@d3/example-components"

import {Swatches} from "@d3/color-legend"

CHANNELS

  • CHANNELS control the appearance of MARKS.
  • They are proportional to or based on ATTRIBUTES (aka VARIABLES).
  • Their properties differ in the type and amount of information that can be conveyed to the human perceptual system.

THIS IS IMPORTANT

Channel properties differ in the type and amount of information that can be conveyed to the human perceptual system.

VISUAL ENCODING EXAMPLE

Let’s analyze the idiom structures below in terms of marks and channels.

ANALYZE THE MARKS AND CHANNELS

Marks are defined by the ITEMS or OBSERVATIONS they represent.

Channels are defined by the visually detectable properties that are mapped on to ATTRIBUTES or VARIABLES.

Sharon’s Microbiomes

Marwa’s Reddit Network

Yaotian’s Wheat

REDUNDANT ENCODING

Uses multiple channels for the same attribute.

  • Sends a stronger message
  • Uses up channels
  • Bonus points if you can identify BOTH channels in this figure!

WHEAT GROWTH BY AREA*

Both of Yaotian’s plots contain Redundant Encoding. Is this approach equally valuable for both plots?

CHOOSING CHANNELS

  • EXPRESSIVENESS
    • The visual encoding should express all of, and only, the information in the dataset attributes.
  • EFFECTIVENESS
    • Channels differ in accuracy of perception.
    • The importance of the attribute should match the salience of the channel (its noticability).

EXPRESSIVENESS

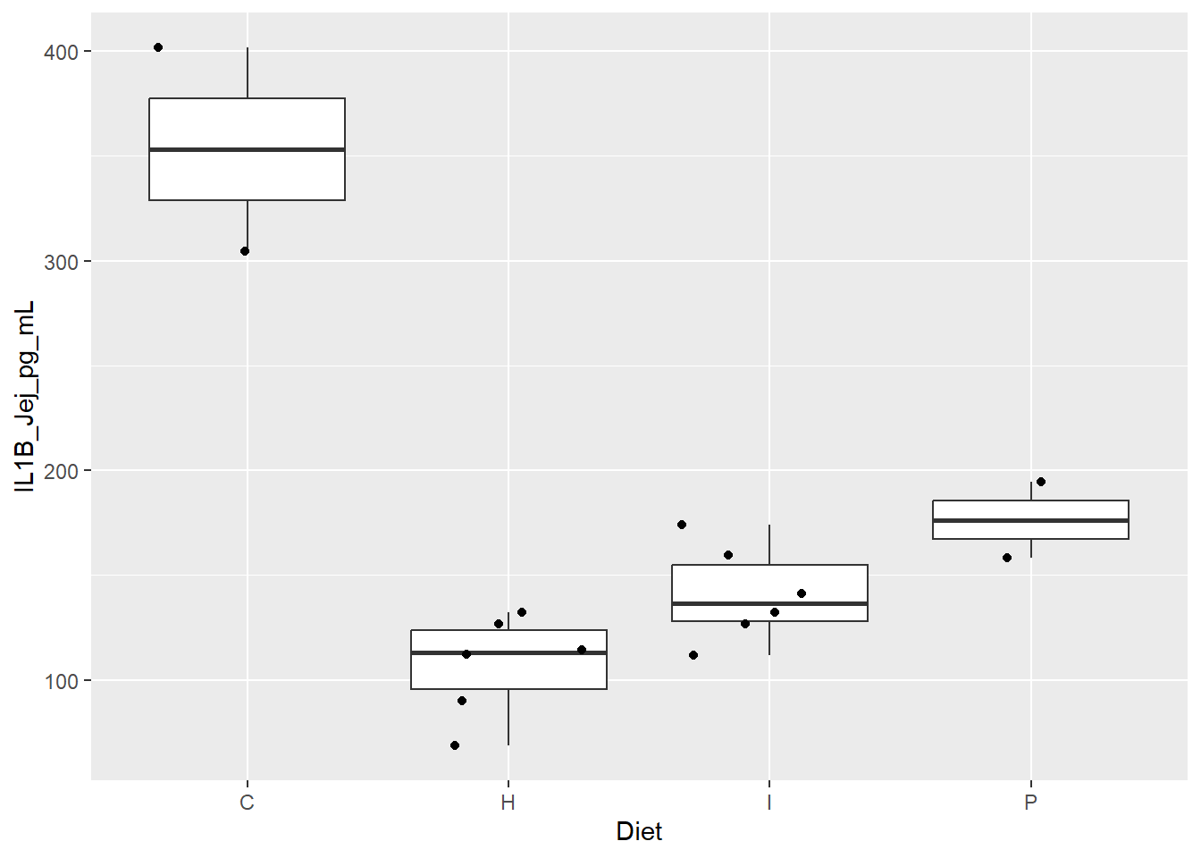
The advantages and disadvantages of jitter plots. How might this relate to the idea of expressiveness?

Heidi’s Cytoswine Data

EXPRESSIVENESS: The visual encoding should express all of, and only, the information in the dataset attributes.

CHANNEL EFFECTIVENESS RANKINGS

Note that spatial position ranks high for both types of channels.

GROUPING

  • Containment
  • Connection
  • Proximity
    • Same spatial region.
  • Similarity
    • Same values as other channels.

SUMMARY SO FAR

CHANNEL EFFECTIVENESS

  • Accuracy: how precisely can we tell the difference between encoded items?
  • Discriminability: how many unique steps can we perceive?
  • Separability: is our ability to use this channel affected by another one?
  • Popout: can things jump out using this channel?

ACCURACY (THEORY)

Steven’s Psychophisical Power Law: \(S=I^N\)

LENGTH (N=1)

ELECTRIC SHOCK (N=3.5)

SATURATION (N=1.7)

AREA (N=0.7)

BRIGHTNESS (N=0.5)

ACCURACY (EXPERIMENTAL)

ACCURACY?

Depends on the task. Which genre has the most game titles? Which genres are the top 4 in terms of game titles? Are there more Puzzle games than Strategy games?

Geraline’s Video Games

DISCRIMINABILITY

How many usable steps are in the channel? Are the differences between items perceptible to the human as intended?

DISCRIMINABILITY and COLORS

Geraline’s Gaming Platforms

SEPARABILITY VS INTEGRALITY

Separable channels are orthogonal and independent. Integral channels are inextricably combined. Attempts to encode different information with integral channels creates Interference.

Figure 5.10. Pairs of visual channels fall along a continuum from fully separable to intrinsically integral. Color and location are separable channels well suited to encode different data attributes for two different groupings that can be selectively attended to. However, size interacts with hue, which is harder to perceive for small objects. The horizontal size and and vertical size channels are automatically fused into an integrated perception of area, yielding three groups. Attempts to code separate information along the red and green axes of the RGB color space fail, because we simply perceive four different hues.

SEPARABILITY

Redundancy may be desirable, but area interferes with hue, with larger shapes having more visual salience.

POPOUT

VISUAL POPOUT is often called preattentive processing or tunable detection.

find the red dot! How long does it take?

Popout results from our low-level visual system performing massively parallel processing on certain visual channels, eliminating the need for the viewer to consciously direct attention to items one by one (serial search).

Figure 5.11. Visual popout. (a) The red circle pops out from a small set of blue circles. (b) The red circle pops out from a large set of blue circles just as quickly. (c) The red circle also pops out from a small set of square shapes, although a bit slower than with color. (d) The red circle also pops out of a large set of red squares. (e) The red circle does not take long to find from a small set of mixed shapes and colors. (f) The red circle does not pop out from a large set of red squares and blue circles, and it can only be found by searching one by one through all the objects.

POPOUT

Many channels are compatible with preattentive processing and facilitate popout:

  • tilt
  • size
  • shape
  • proximity
  • shadow direction

But not all!

  • Example: parallel line pairs do not pop out from tilted pairs.

POPOUT GOES THE WEEVIL?

Lucas Weevils before chemicals

Lucas Weevils after chemicals

RELATIVE VS ABSOLUTE JUDGEMENTS

The human perceptual system is fundamentally based on relative judgements, not absolute ones. This is why accuracy increases with common frame/scale and alignment.

Weber’s Law: The detectable difference in stimulus intensity \(I\) as a fixed percentage \(K\) of the object magnitude: \(dI/I=K\) .

The filled rectangles differ in length by 1:9, and it is therefore difficult to detect the difference without aligment. The white rectangles differ in length by 1:2, it is easier to see this difference even when the objects are unaligned.

RELATIVE JUDGEMENTS

Heidi’s Microbiomes

RELATIVE LUMINANCE JUDGEMENTS

Human perception of luminance is completely contextual, and is based on contrast with surrounding colors.

RELATIVE COLOR JUDGEMENTS

Our visual system evolved to provide color constancy so that the same surface is identifiable across a broad set of illumination conditions, even though a physical light meter would yield very different readings. While the visual system works very well in natural environments, many of its mechanisms work against simple approaches to visually encoding information with color.

Figure 5.15 shows two colorful cubes. In Figure 5.15(a) corresponding squares both appear to be red. In Figure 5.15(b), masks show that the tile color in the image apparently illuminated by a yellowish light source is actually orange, and for the bluish light the tiles are actually purple.